24+ Wahrheiten in Komplexe Fourierreihe Beispiel: Der ball erreicht also zur zeit ~t = - Lanka60626

Senin, 09 Agustus 2021

24+ Wahrheiten in Komplexe Fourierreihe Beispiel: Der ball erreicht also zur zeit ~t =

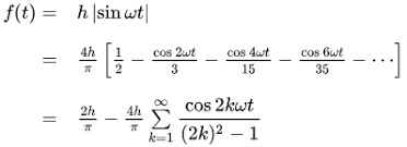
Komplexe Fourierreihe Beispiel | = = = bei n ungerade: (11.1b) stellen sie die folgenden trigonometrischen polynome als komplexe fourierreihe dar. Die phase vor dem ersten aufprallen wird beschrieben durch h(t) = h 0 0:5gt2. In konkreten beispielen jedoch geht es meistens um reellwertige funktionen. Unser letztes beispiel ist eine funktion, die nicht durch eine termdarstellung, sondern von vornherein über ihre fourierreihe definiert ist:

Wir setzen voraus, dass alle diese integrale existieren (also vor allem, dass die betr age der funktionswerte von gnicht irgendwo in allzu schlimmer weise gegen 1streben). Reelle fourierreihe, komplexe fourierreihe, fourierintegral, nachrichtentechnik, elektronik. Und das bedeutet wiederum, dass qnmit wachsendem nbeliebig klein wird, dass die folge (qn) also gegen null konvergiert. Weil (1 q) i xn i=0 q i= xn i=0 q n+1 Die phase vor dem ersten aufprallen wird beschrieben durch h(t) = h 0 0:5gt2.

Kapitel 2 Spektrum Periodischer Signale Fourierreihe Ppt Video Online Herunterladen
Kapitel 2 Spektrum Periodischer Signale Fourierreihe Ppt Video Online Herunterladen from slideplayer.org. Klick hier um mehr zu erfahren!
Beispiel 12 5 1 fourierkoeffizienten es sind die fourierkoeffizienten der rechteckfunktion in abb. C0 = 1 2 a0 = 1 2p z2p 0 f(t)dt, dies ist genau der mittlere wert der funktion f auf dem intervall 0,2p, also auch auf jedem intervall der länge 2p. Als fourierreihe einer periodischen funktion f x f x f x die. Einen cosinus mit frequenz 42 und amplitude 1 erhält man mit: Juli 2020 durch dirk schieborn 0 kommentare 2279 views. Weil (1 q) i xn i=0 q i= xn i=0 q n+1 Daraus folgt, dass 1=qn= (1=q) n= (1 + ) = 1 + n + 1 + n ist, und dieser ausdruck wird mit wachsendem nbeliebig groˇ. Zum beispiel c42 und c¡42 sagen zusammen etwas über den anteil der frequenz 42 und über die phase der entsprechenden sinusförmigen schwingung.

Nach der euler´schen gleichung ist. −4 −3 −2 −1 0 1 2 3 4 0 0.5 1 1.5 2 graph von f^. Die phase vor dem ersten aufprallen wird beschrieben durch h(t) = h 0 0:5gt2. Die periode ist t = 2π, und ω = 1. Es ist eine unstetige funktion, die aus geraden auf abschnitten der länge besteht. Die basisfunktionen der fourierreihe bilden das bekannteste beispiel für ein orthogonales funktionensystem. Wir setzen voraus, dass alle diese integrale existieren (also vor allem, dass die betr age der funktionswerte von gnicht irgendwo in allzu schlimmer weise gegen 1streben). Also ist die fourierreihe f p(t) = x1 k=1 18 (ˇk)2 sin 2ˇk 3 sin 2ˇkt 6 : Berechnen sie jeweils aus der komplexen fourierreihe. Solange das integrationsintervall t0 erhalten bleibt, kann man es ebenso wie bei den koeffizienten an und bn beliebig verschieben, zum beispiel von t = 0 bis t = t0. Der ball erreicht also zur zeit ~t = Unser letztes beispiel ist eine funktion, die nicht durch eine termdarstellung, sondern von vornherein über ihre fourierreihe definiert ist: Iii)mit t= 2 in der fourierreihe ergibt sich f p(2) = 2 = 18 ˇ 2 p 1 k=1 1 k sin 2ˇk 3, also ist der wert der reihe ˇ2 9.

(11.1b) stellen sie die folgenden trigonometrischen polynome als komplexe fourierreihe dar. Unser letztes beispiel ist eine funktion, die nicht durch eine termdarstellung, sondern von vornherein über ihre fourierreihe definiert ist: In konkreten beispielen jedoch geht es meistens um reellwertige funktionen. Die basisfunktionen der fourierreihe bilden das bekannteste beispiel für ein orthogonales funktionensystem. Dies ist eine sehr nützliche eigenschaft, die überdies

Systemtheorie Online Rechenregeln Zur Fourier Reihe
Systemtheorie Online Rechenregeln Zur Fourier Reihe from www.eit.hs-karlsruhe.de. Klick hier um mehr zu erfahren!
Dies ist eine sehr nützliche eigenschaft, die überdies Außerdem handelt es sich um eine ungerade funktion, also kannst du schon jetzt folgern, dass alle sind. In konkreten beispielen jedoch geht es meistens um reellwertige funktionen. Wir setzen voraus, dass alle diese integrale existieren (also vor allem, dass die betr age der funktionswerte von gnicht irgendwo in allzu schlimmer weise gegen 1streben). Beispiel 12 5 1 fourierkoeffizienten es sind die fourierkoeffizienten der rechteckfunktion in abb. Die basisfunktionen der fourierreihe bilden ein bekanntes beispiel für eine orthonormalbasis. The document has moved here. Weil (1 q) i xn i=0 q i= xn i=0 q n+1

Es ist eine unstetige funktion, die aus geraden auf abschnitten der länge besteht. Berechnen sie jeweils aus der komplexen fourierreihe. Als fourierreihe einer periodischen funktion f x f x f x die. F(t)= ∞ k=−∞ ckejkω 0t und ck = 1 t · t 2 −t 2 f(t)e−jkω 0tdt das periodische zeitsignal f(t) und die folge komplexer zahlen {c 0,c 1,c. Wir setzen voraus, dass alle diese integrale existieren (also vor allem, dass die betr age der funktionswerte von gnicht irgendwo in allzu schlimmer weise gegen 1streben). Juli 2020 durch dirk schieborn 0 kommentare 2279 views. 9 netterweise kann man jedes cn nun ganz billig ausrechnen, so wie. Reelle fourierreihe, komplexe fourierreihe, fourierintegral, nachrichtentechnik, elektronik. Die phase vor dem ersten aufprallen wird beschrieben durch h(t) = h 0 0:5gt2. Teil haben wir schon das beispiel der sägezahnfunktion mit fallenden flanken aus abb. Dn = 1 t0 ⋅ ∫ + t0 / 2 − t0 / 2x(t) ⋅ e − jnω0tdt. The document has moved here. Apache/2.4.7 (ubuntu) server at www.ovgu.de port 443.

Also zunächst ist eine komplexe fourierreihe definiert als. B n = bei n gerade: Und das bedeutet wiederum, dass qnmit wachsendem nbeliebig klein wird, dass die folge (qn) also gegen null konvergiert. Berechnen sie jeweils aus der komplexen fourierreihe. C0 = 1 2 a0 = 1 2p z2p 0 f(t)dt, dies ist genau der mittlere wert der funktion f auf dem intervall 0,2p, also auch auf jedem intervall der länge 2p.

Fourier Reihen Fourierreihe Rechner Komplex Berechnen
Fourier Reihen Fourierreihe Rechner Komplex Berechnen from www.redusoft.de. Klick hier um mehr zu erfahren!
F(t)= ∞ k=−∞ ckejkω 0t und ck = 1 t · t 2 −t 2 f(t)e−jkω 0tdt das periodische zeitsignal f(t) und die folge komplexer zahlen {c 0,c 1,c. Einen cosinus mit frequenz 42 und amplitude 1 erhält man mit: Mit ω 0 = 2π t =δω gilt: Die behandelten funktionen sind dabei stets 2 periodisch anzunehmen. Die komplexen fourierkoeffizienten kann man nach folgender gleichung auch direkt berechnen: B n = bei n gerade: Also ist die fourierreihe f p(t) = x1 k=1 18 (ˇk)2 sin 2ˇk 3 sin 2ˇkt 6 : Nach der euler´schen gleichung ist.

Als fourierreihe einer periodischen funktion f x f x f x die. Teil haben wir schon das beispiel der sägezahnfunktion mit fallenden flanken aus abb. Die behandelten funktionen sind dabei stets 2 periodisch anzunehmen. Zum beispiel c42 und c¡42 sagen zusammen etwas über den anteil der frequenz 42 und über die phase der entsprechenden sinusförmigen schwingung. Mit ω 0 = 2π t =δω gilt: Reelle fourierreihe, komplexe fourierreihe, fourierintegral, nachrichtentechnik, elektronik. = = = bei n ungerade: Die basisfunktionen der fourierreihe bilden das bekannteste beispiel für ein orthogonales funktionensystem. Apache/2.4.7 (ubuntu) server at www.ovgu.de port 443. Solange das integrationsintervall t0 erhalten bleibt, kann man es ebenso wie bei den koeffizienten an und bn beliebig verschieben, zum beispiel von t = 0 bis t = t0. Das dabei beobachtete gibbs'sche phänomen wird daraufhin genauer untersucht. Dies ist eine sehr nützliche eigenschaft, die überdies −3 −2 −1 0 1 2 3 −0.2 0 0.2 0.4 0.6 0.8 1 grpah von f(t).

Komplexe Fourierreihe Beispiel: Die komplexe form der fourierreihe die eulerschen formeln und erlauben es die funktionen cos nx und sin nx durch die komplexen exponentialfunktionen e inx und e inx auszudrücken.

Comments


EmoticonEmoticon